2025-09-30 4243 0
低密度可发性聚苯乙烯混凝土材料的动态性能
Dynamic properties of low-density expandable polystyrene concrete materials

摘要: 膨胀聚苯乙烯(EPS)混凝土因其环保性、吸能能力和低阻抗特性,在吸波减震领域具有重要的潜在应用价值。本研究设计并制备了四种密度等级的EPS混凝土材料,通过准静态单轴压缩试验和分离式霍普金森压杆(SHPB)冲击试验,获取了EPS混凝土在准静态和动态加载条件下的应力-应变曲线、弹性模量、破坏模式、能量吸收及应变率效应,并分析了密度对各项性能指标的影响。结合朱-王-唐(ZWT)本构模型与改进的弹性-脆性模型,提出了一种修正的动态本构模型,且通过试验数据验证了该模型的准确性。结果表明:EPS颗粒的掺入提升了混凝土的延性;EPS混凝土具有显著的应变率效应,且随密度增大而增强;修正后的本构模型能准确表征EPS混凝土的动态应力-应变曲线。 引言: 膨胀聚苯乙烯(EPS)混凝土作为一种环保绿色材料已得到广泛认可,在叠合楼板、结构保温板、道路基层及夹层材料等领域应用广泛。因其优异的能量吸收能力和低波阻抗特性,EPS混凝土在吸波层应用中展现出巨大潜力,可有效减轻冲击波导致的结构损伤。根据波阻抗匹配原理,EPS混凝土的低波阻抗特性可使更多应力波在吸波层发生反射,从而减少向深层结构的应力波传递。研究表明,EPS混凝土的密度与刚度存在直接关联,因此低密EPS混凝土更适合用于吸波层。目前,EPS混凝土吸波效果的设计与评估方法主要包括试验、理论分析和数值模拟,由于试验成本较高,理论与数值研究更为常用。准确表征EPS混凝土材料特性(尤其是冲击波作用下的特性)至关重要,因此建立精确的准静态与动态本构模型是确保理论分析和数值模拟准确性的关键。 众多研究已探讨EPS混凝土的配合比设计与静态力学性能,包括微观结构模型、单轴压缩应力-应变模型、干密度与养护龄期对基本性能的影响,以及EPS颗粒掺量、粒径和分布对力学性能的作用。学者们对EPS混凝土的动态力学性能也进行了研究。Liu等人研究了冲击速度为2-4 m/s时EPS混凝土的冲击行为;Lu等人采用分离式霍普金森压杆(SHPB)系统评估EPS混凝土的冲击压缩性能,发现EPS颗粒体积取代率为20%时能量吸收效果最优;Chen等人探讨了EPS掺量为0%-58.28%的EPS混凝土应变率效应,发现粒径3-5 mm的EPS混凝土具有更优的能量吸收能力。 学者们针对含应变率效应的动态本构模型开展了研究,包括粘弹性、粘塑性和损伤模型。粘弹性模型(尤其是著名的朱-王-唐(ZWT)模型)被广泛用于描述混凝土的应力-应变关系。该模型最初用于表征高分子材料的非线性粘弹性行为,能有效捕捉高应变率下混凝土的显著滞后效应和粘弹性特性。众多学者基于ZWT本构模型对高分子材料、混凝土和土体等进行了改进:Xiao等人利用ZWT模型预测环氧树脂在宽应变率范围内的弹性行为;Yan等人评估玄武岩聚丙烯纤维混凝土的动态力学性能,建立基于ZWT模型的率相关塑性损伤本构模型;Wu等人研究轻质页岩陶粒混凝土在静动载耦合作用下的损伤特性与本构模型,提出基于ZWT模型的物理意义明确的动态损伤本构模型;Zhang等人研究聚丙烯纤维珊瑚海砂混凝土的动态力学性能,建立基于ZWT模型的率相关塑性损伤本构模型;Li等人将ZWT模型与满足Drucker-Prager(D-P)屈服准则的塑性理论相结合,构建冻融循环与冲击荷载作用下冻土的粘弹塑性本构模型。 文献综述表明,现有EPS混凝土研究主要集中于低掺量EPS颗粒的配合比设计与静态力学性能(即高密度体系),而针对EPS颗粒掺量超过40%、密度低于900 kg/m³的低密度EPS混凝土动态力学性能及本构模型的研究较少。此外,高密度EPS混凝土的力学性能与普通混凝土相近,而低密度EPS混凝土的力学性能则表现出显著差异。因此,本研究旨在探索高掺量EPS颗粒的低密度EPS混凝土准静态与动态力学性能,并建立其动态本构模型,为EPS混凝土吸波层的理论设计与数值模拟分析提供基础数据。 为实现上述目标,本研究通过调整胶凝材料用量设计并制备了四种不同密度的EPS泡沫混凝土。采用岛津万能试验机进行准静态压缩试验,获取材料的应力-应变曲线、弹性模量等基本力学性能参数;利用SHPB试验系统研究材料的动态力学性能,分析应变率效应、能量吸收特性、破坏特征及材料密度对这些参数的影响。基于ZWT本构模型和脆性弹性模型推导修正的动态本构模型,验证结果表明该模型对EPS泡沫混凝土的动态应力-应变曲线具有良好的预测能力。 图表

图1 EPS混凝土试件系列及配合比详图。

图2 (a)EPS混凝土的浇注工艺和湿养护;(b)不同密度EPS混凝土的微观特性;(c)动态SHPB试验试件。

图3 (a)EPS混凝土的应力-应变随密度的变化曲线EPS混凝土的平均工程应力-应变曲线以及(b)峰值应力、峰值应变和(c)弹性模量随密度的变化。

图4 EPS混凝土的强度特性。

图5 EPS混凝土在单轴压缩下的典型破坏过程,密度为(a)243.5 kg/m3,(B)415.8 kg/ m3,(c)612.3 kg/ m3,(d)866.8 kg/ m3。

图6 SHPB系统、高速摄像机和样品回收装置。

图7 密度为(a)243.5 kg/m3、(B)415.8 kg/ m3、(c)612.3 kg/ m3和(d)866.8 kg/ m3的样品的典型入射波、反射波和透射波信号。

图8 不同密度EPS混凝土在0.1 MPa和0.2 MPa冲击压力下的工程应力-应变曲线:(a)243.5 kg/m3 ;(b)415.8 kg/ m3 ;(c)612.3 kg/ m3 ;(d)866.8 kg/ m3。

图9 不同密度EPS混凝土在0.3 MPa和0.4 MPa冲击压力下的工程应力-应变曲线:(a)243.5 kg/m3 ;(b)415.8 kg/ m3 ;(c)612.3 kg/ m3 ;(d)866.8 kg/ m3。

图10 峰值应力与应变率的关系:(a)243.5 kg/m3和415.8 kg/m3 ;(b)612.3 kg/ m3和866.8 kg/ m3 ;(c)DIF与应变率的关系;(d)典型的动态应力-应变曲线。

图11 动态损伤本构模型参数拟合。

图12 在储气室压力为0.1 MPa和0.2 MPa时,各种密度的拟合曲线。(a)243.5 kg/m3 ;(b)415.8 kg/ m3 ;(c)612.3 kg/ m3 ;(d)866.8 kg/ m3。

图13 各种密度和储气室压力0.3 MPa和0.4 MPa的拟合曲线:(a)243.5 kg/m3 ;(B)415.8 kg/ m3 ;(c)612.3 kg/ m3 ;(d)866.8 kg/ m3。

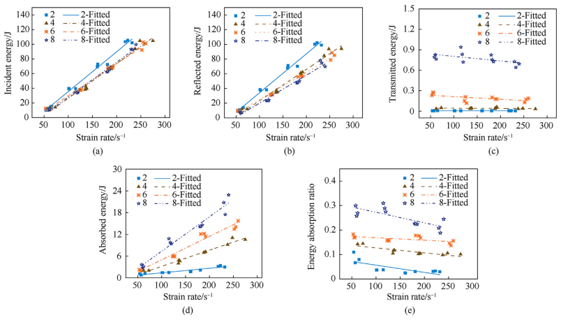
图14能量与应变率:(a)入射能量;(b)反射能量;(c)透射能量;(d)吸收能量;(e)能量吸收比。

图15 (a)试样2-1、(b)试样4-2、(c)试样6-1、(d)试样8-1、(e)试样2-7、(f)试样4-7、(g)试样6-7和(h)试样8-7的SHPB破坏过程。
结论: 在本研究中,设计并制备了四种密度的EPS混凝土,通过试验揭示了其准静态与动态力学行为。主要研究结果如下: EPS混凝土密度越高,其峰值应力和弹性模量越大,但峰值应变越小。EPS颗粒的掺入提升了混凝土的延性,减轻了试件的开裂与损伤程度。 EPS混凝土具有显著的应变率效应。四种EPS混凝土的动态增强因子(DIF)范围分别为1.63-2.29、2.47-3.76、3.01-4.32和3.10-5.02。 提出的EPS混凝土修正动态本构模型可准确描述其动态应力-应变曲线。 这些研究结果为低密度EPS泡沫混凝土吸波层的理论设计及相关结构的数值模拟提供了重要参考。 参考文献
Han J ,Fan H .Dynamic properties of low-density expandable polystyrene concrete materials[J].Defence Technology,2025,4394-108.DOI:10.1016/J.DT.2024.07.006.
Hot News
成功提示
错误提示
警告提示
评论 (0)